
Самые невероятные теории распространения жизни.
Уже давно идут споры относительно того, как же появилась жизнь, да и вся Вселенная. У тех, кто верит в Бога, на это есть свой категоричный ответ. Но есть и исследования, которые предполагают возможность наличия высших существ, ответственных за существование человечества.
1. Вселенная не должна существовать

Существование Вселенной — ошибка.
Согласно некоторым исследованиям, Вселенная не должна была выжить в течение более одной секунды. Например, в ходе Большого взрыва должно было образоваться одинаковое количество вещества и антивещества, которые бы аннигилировали друг друга. Вместо этого, образовалось намного больше обычной материи, создав всю наблюдаемую Вселенную. Ученые до сих пор не могут окончательно объяснить этого.
Согласно другой теории, Вселенная находится в поле Хиггса, которое придает частицам их массу. Большое энергетическое поле останавливает нашу Вселенную от «падения» в состояние, при котором она не могла бы существовать. Однако, если стандартная модель физики верна, быстрое расширение Вселенной сразу после Большого взрыва должно было нарушить стабильность этого поля.
Теоретическая невозможность жизни на Земле также умопомрачительно высока. Галактика не может существовать без темной материи и темной энергии. Земля должна была быть на нужном расстоянии от Солнца. При этом в системе должна существовать планета размером с Юпитер, которая будет «оттягивать» на себя большие астероиды и кометы, чтобы те не врезались в поверхность Земли. Таких условий множество и шанс, что все случайно совпадут, очень низок.
2. Семя жизни

Семя жизни.
Согласно теории панспермии, разработанной Фрэнсисом Криком, жизнь возникла в другом месте и была отправлена на Землю продвинутыми существами. Ранняя теория панспермии предполагала, что жизнь была занесена на нашу планету на астероиде или комете.
В июле 2013 года астробиолог Милтон Уэйнрайт заявил, что он нашел настоящее»семя жизни». После запуска метеозонда над Англией тот захватил металлический шар шириной с прядь волос. Внутри его корпуса из титана и ванадия якобы содержалась клейкая биологическая жидкость. Многие ученые скептически относятся к его заявлению.
3. Биологический поиск внеземной жизни

Биологический поиск внеземной жизни.
Люди «состоят» из примерно 22 000 генов или всего 3 процента от генома человека. Остальные 97 процентов генов -«мусорные ДНК «, которые могут содержать закодированное сообщение или «метку создателя», если жизнь возникла в другом месте или была создана высшим существом.
В 2013 году два исследователя из Казахстана заявили, что они нашли упорядоченную последовательность символического языка в человеческой «мусорной ДНК», что не могло бы произойти естественным путем. Тем не менее, многие критики опровергают их гипотезу.
4. Космические лучи

Космические лучи.
В 2003 году философ Ник Бостром предположил, что Вселенная представляет собой компьютерную модель, эту теорию позже поддержали Илон Маск и Нил де Грасс Тайсон. Если это правда, то некие высшие существа должны были построить эту модель. Также Вселенная не может быть бесконечным, поскольку у всех компьютеров есть пределы.
Некоторые исследователи полагают, что люди могут обнаружить эту компьютерную модель, если они смогут найти пределы Вселенной. Чтобы проверить это, немецкие исследователи построили имитацию Вселенной на квантовом компьютере. В основном эксперимент касался космических лучей, которые являются фрагментами атомов, прилетающих из-за пределов Солнечной системы.
Космические лучи теряют энергию с пройденным расстоянием. Когда они достигают Земли, у них всегда одинаковое количество энергии (максимум 10 электронвольт). Это говорит о том, что все космические лучи имеют одинаковую исходную точку — в случае эксперимента эторешетка квантового компьютера, а во случае Вселенной — то же самое, только в больших масштабах.
5. Распространение жизни

Загадка распространения жизни.
В 2015 году исследователи из Гарвард-Смитсоновского центра астрофизики предположили, что жизнь могла бы распространяться путем панспермии и двигаться от звезды к звезде. Подобная модель также предполагает, что жизнь может распространяться как эпидемия. Ученые протестировали две возможности для привнесения жизни на Землю: посредством астероидов и разумными существами. Результатом было то, что оба варианта были возможны ив принципе протекали по одной и той же схеме. Если теория верная, то данное исследование также указывает на то, что жизнь существует и в других местах в галактике.
6. Физические константы

А с точки зрения физики…
По версии физика-теоретика Джон Д. Барроу, Вселенная является моделью, поскольку в ней есть множество ошибок и несоответствий. Барроу считает, что даже продвинутые цивилизации не имели полного знания законов природы. Поэтому явно наблюдаются заметные сбои в матрице, такие как изменения физических констант.
В 2001 году австралийские исследователи обнаружили доказательства того, что скорость света замедляется в течение последних миллиардов лет, даже если это противоречит общей теории относительности. Несмотря на это, никто до сих пор не знает, почему текущие физические константы остаются постоянными. Но они имеют решающее значение для существования нашей Вселенной. Некоторые ученые полагают, что физические константы являются свидетельством того, что Вселенная была специально «настроена » для существования в ней жизни.
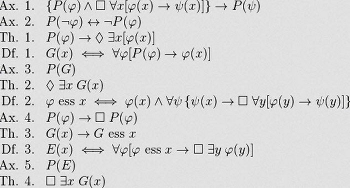
7. Онтологическое доказательство Геделя

Онтологическое доказательство Геделя
В 1940-х годах физик Курт Гедель пытался доказать существование Бога математическими способами. Он основывался на аргументах Сент-Ансельма Кентерберийского:
— Существует великое существо, которое называется Богом, и невозможно представить себе ничего лучше Бога.
— Бог существует как идея в уме.
— При прочих равных условиях, существо, которое существует и в уме и реальности лучше, чем существо, которое существует только в уме.
— Поэтому, если Бог существует только в уме, то вполне возможно, что люди могут себе представить более лучшее существо, которое существует в реальности.
— При этом люди не могут вообразить ничего лучше Бога.
— Таким образом, Бог существует.
Используя модальную логику и теорию о параллельных вселенных, Гедель утверждал, что всемогущее существо существует (если оно действительно существует) по крайней мере, в одной параллельной вселенной. Поскольку существует бесконечное число вселенных с бесконечным числом вероятностей, одна вселенная будет настолько могущественной, что она будет считаться всемогущим Богом. Следовательно, Бог существует.
8. Реальность не существует, если не смотреть на нее

Что же реально?
Компьютерная игра реальна только тогда, когда человек смотрит на нее. В противном случае, можно считать, что ее не существует. Реальность подобна этому, потому что некоторые аспекты существуют только тогда, когда люди смотрят на них.
Этот загадочный феномен основан на квантовой механике. Элементарные объекты, как правило, являются либо волнами, либо частице подобными твердыми предметами. Очень редко они могут существовать в обеих формах. Некоторые примеры этого — свет и объекты, которые имеют массу, подобную электронам.
Сами по себе они существуют в двойственном состоянии. Но при измерении они «решают» — стать волной или твердым объектом. Эти основы нашей реальности находится в состоянии покоя, пока люди не смотрят на них, что не сильно отличается от моделируемого мира компьютерной игры.
9. Голографический принцип

Принцип голограммы.
В 1997 году физик-теоретик Хуан Малдасена предположил, что наша Вселенная представляет собой двумерную голограмму, которую люди просто воспринимают в трех измерениях. Крошечные струны, называемые гравитонами, вибрируют, чтобы создать эту голографическую вселенную.
Если эта теория верная, то она помогла бы разрешить некоторые различия между квантовой механикой и теорией гравитации Эйнштейна. Некоторые исследования показывают, что 2-D вселенная возможна. Японские исследователи рассчитали внутреннюю энергию черной дыры, положение горизонта событий, а также другие свойства в 3-D мире, а затем пересчитали их под 2-D мир, где нет гравитации. Расчеты полностью совпали.
10. Космическое кодирование

Вселенная как матрица.
По словам физика-теоретика Сильвестра Джеймса Гейтса, убедительные данные свидетельствуют о том, что люди живут в симуляторе. Во время работы над уравнениями теории супер струн Гейтс нашел базовые коды, которые якобы могут быть широко распространены в природе и даже могут быть встроены в сущность самой реальности. Если это так, то все по сути живут в «Матрице», а личный опыт каждого человеческого существа является продуктом виртуальной реальности.
И тем, кто интересуется астрономией, и тем, кто далёк от неё, обязательно понравятся 25 потрясающих фотографий НАСА, сделанных в глубинах космоса.
Источник: